Bẫy FOMO và Cái Giá Của Sự Kiên Định
Tại Sao Bạn Cần "Tầm Nhìn Xuyên Thế Kỷ"
Chào bạn, tôi là Khanh.
Hôm nay, Khanh muốn chia sẻ về với bạn về một "căn bệnh" mà 90% các chủ doanh nghiệp và leader Khanh gặp đều mắc phải: FOMO (Sợ bỏ lỡ).
Sau đây là một câu chuyện Khanh giúp 1 bạn mentee tìm lại la bàn của chính mình
Ghi chú: Nhân vật được đổi tên để không lộ thông tin của mentee (theo quy tắc nghề mentor mà) ^^
Đà Nẵng chiều Chủ Nhật yên ả.
Tôi chọn một quán cà phê sân vườn nằm sâu trong ngõ, nơi những tán cây cổ thụ che rợp bầu trời, chỉ để lọt vài tia nắng vàng vọt xuống mặt bàn gỗ xoài cũ kỹ.
Hai đứa con tôi vẫn là những người đồng hành quen thuộc. Thằng anh (12 tuổi) đang ngồi đọc cuốn Sapiens: Lược sử loài người trên Kindle, thỉnh thoảng nó dừng lại, vẽ ghi chú những hình ngộ nghĩnh vào quyển tập học sinh.
Cu em (9 tuổi) thì đang ngồi xếp bộ cờ Domino thành một hàng dài dằng dặc.
Cu cậu cứ xếp rồi lại đổ, rồi kiên nhẫn ngồi xếp lại.
Trông cảnh ấy mà tôi phì cười.
Việc homeschooling cho con cũng chính là một dự án dài hạn nhất cuộc đời của tôi.
Không có điểm số hàng tuần, không có thành quả tức thời, chỉ có sự trưởng thành thầm lặng qua từng năm tháng.
Tôi mở chiếc Macbook của mình, tiếp tục đọc đoạn dang dở cuốn The Infinite Game (Trò chơi vô cực) của Simon Sinek. Bên cạnh một note ghi chép về video Ted Talk của Angela Duckworth về Grit (sự bền bĩ). Tôi đang chuẩn bị cho một bài giảng cho khóa học, và cũng là tài liệu để chữa bệnh cho một mentee trẻ tuổi - Hoàng - một chàng trai rất năng động, thông minh nhưng lúc nào cũng vội vã.
Phần 1: Cơn Sốt "Đào Vàng" Và Sự Lạc Lối
Sau 30 phút, tôi mở zalo để chuẩn bị nhắn Hoàng nhớ về buổi hẹn hàng tuần chiều nay.
Cửa sổ chat hiện ra hàng loạt tin nhắn của Hoàng.
Cậu gửi cho tôi hàng loạt link bài báo về dự án AI của 2 người bạn của mình, một bài báo về cơn sốt AI, một bài đánh giá về Crypto và cả một mô hình kiếm tiền nhanh Affiliate qua Tiktok của một Influencer khá nổi.
Tin nhắn cuối cùng của Hoàng (chỉ trước giờ hẹn 60 phút): Anh Khanh ơi, chắc em phải pivot quá. Dự án Working Platform của em tiến triển chậm quá. Team em làm miệt mài, cập nhật liên tục tính năng và vẫn không cạnh tranh nổi. Giờ thiên hạ, bạn bè cùng lứa đổ xô đi làm AI, kéo traffic hết rồi. Em thấy mình đang dậm chân, đang tụt hậu anh ạ.
Thằng bạn em vừa khoe 6 tháng rồi kiếm 2 tỷ nhờ bắt trend Tiktok. Em thấy mình giống như vừa làm mất tiền trên bàn vậy. Em định họp kéo team sang build cái mới, tích hợp API mấy tool tự động, rồi bán ngay cho các leader, chủ doanh nghiệp đang cần”
Tôi nhíu mày, nhận ra Hoàng đang mắc vào cái bẫy kinh điển, mà hàng chục mentee của tôi đã mắc phải: Shiny Object Syndrome (Hội chứng đuổi theo vật thể lấp lánh).
Chàng trai này đang nhìn thấy thành công bề nổi của người khác, để so sánh với tiến trình vật lộn của chính mình.
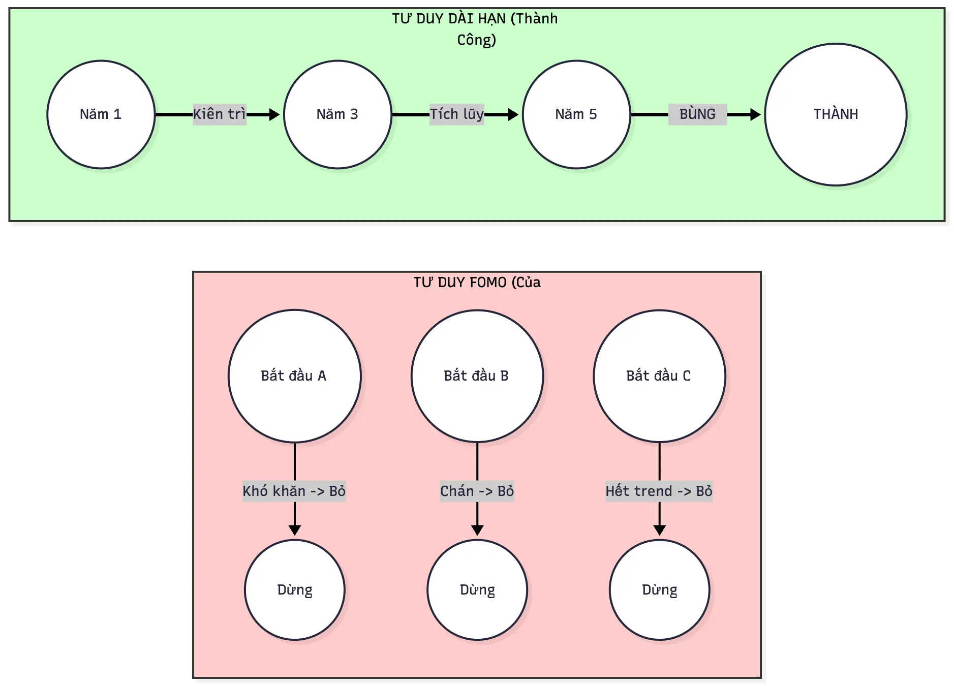
Tôi mở phần mềm, vẽ nhanh 1 biểu đồ, xuất hình rồi nhắn qua Zalo.
“Hoàng, trước khi em “kéo cả team” đập đi xây lại, hãy nhìn vào hình này.
(bạn đọc hãy xem hình minh họa số 1)

Bên dưới, tôi nhắn thêm:
“Hình bên dưới chính là hành động của em trong 10 năm tới. Em sẽ đào 10 cái giếng, mỗi cái sâu 1 mét, và không có giọt nước nào. Hình bên trên là một người đào giếng sâu 10 mét trong 5 năm. Nếu là em, em muốn mình chết khát, kiệt sức (mất hết thời gian, tiền của, nhân sự của mình) bên cạnh 10 cái hố cạn, hay em muốn có một giếng nước thông với mạch nước ngầm dồi dào, nuôi sống cả team em trọn đời?
Em suy nghĩ nha, 30 phút nữa gặp anh trên Zoom ha!”
Phần 2: Cuộc Đối Thoại Về "Thung Lũng Thất Vọng"
3 giờ chiều. Hoàng xuất hiện trên Zoom, ánh mắt dáo dác, tay vẫn cầm điện thoại lướt lướt.
Sau khi chào hỏi, Hoàng phân bua ngay “Anh không hiểu đâu, cơ hội này chỉ đến một lần trong năm nay. Nếu em không nắm bắt làn sóng này, em sẽ bị lỡ nhịp."
“Em đang định hôm nay nhờ anh cùng em tạo ra kế hoạch mới, để về họp với team…”
Tôi xoa xoa cằm của mình, rồi nhớ lại hàng loạt trend nóng hổi cuốn tới như vũ bão, rồi xẹp xuống như bong bóng xà phòng trong hàng chục năm qua.
Tôi hỏi Hoàng “Theo em, một dự án cần bao nhiêu thời gian để thành công, một doanh nghiệp cần bao lâu để tạo thương hiệu bền vững trên thị trường?”
Hoàng nheo mắt “Em không biết, vài tháng chăng? Hay vài năm anh nhỉ?”
“Ừm, cũng còn tùy. Thông thường, một dự án thường kéo dài ít nhất 8 tháng, mới thấy dấu hiệu ánh sáng cuối đường hầm. Còn trước đó, hầu như chỉ toàn khó khăn chồng chất khó khăn, và cả team sẽ đối mặt với nỗi nghi ngờ bản thân mình mỗi ngày, mỗi phút.
Cho đến khi, họ nhận ra rằng họ không thể thành công, nhưng họ vẫn cố gắng, họ không bỏ cuộc.
Họ vẫn theo dự án không phải vì họ còn ý chí, hay còn động lực để theo đuổi dự án.
Mà vì họ không muốn bỏ rơi những người đồng đội, và họ tin vào sản phẩm, tâm huyết của họ làm ra”
Hoàng dường như hiểu ra điều tôi đang ẩn ý.
Cậu buông chiếc điện thoại xuống, vẻ mặt đăm chiêu.
“Em chắc đã đọc sách Almanack (The Almanack of Naval Ravikant: A Guide to Wealth and Happiness) của Naval Ravikant rồi nhỉ?”
Dạ, em có đọc một lần.
Tôi mỉm cười hài lòng: “Ừm, vậy chắc em nhớ một câu nói nổi bật trong sách: Chơi trò chơi dài hạn với những người dài hạn (Play long-term games with long-term people)
Rồi, tôi nói thật chậm từng từ một “Những thứ em gọi là cơ hội, thật ra chỉ là những tiếng ồn ào (noise)”
Tôi thấy mắt Hoàng chớp liên tục qua hình ảnh Zoom, môi cậu mím chặt.
Rồi Hoàng trầm ngâm, rơi vào suy tư.
Tôi kiên nhẫn chờ đợi.
Tôi biết trong những khoảng lặng không lời này, trong trí óc của các mentee của mình là sự dằn xé của các suy nghĩ hỗn loạn, những cuộc đấu tranh của các suy luận đan xen.
Đó là dấu hiệu của sự nghi ngờ, hoang mang, rồi phá bỏ cái tôi “sợ hãi, lo lắng, tham lam” đầy đớn đau (nhưng cần thiết).
Tôi lặng lẽ bấm nút share màn hình, mở Obsidian để cho em thấy về một hình minh họa về "Thung lũng thất vọng" (The Valley of Disappointment) từ cuốn Atomic Habits, nhưng đã được tôi Việt hóa.
Rồi Hoàng ngước mắt lên.
"Em hãy nhìn vào đây, Đây là nơi em đang đứng," tôi chỉ chuột vào điểm trũng nhất của đồ thị.
(bạn đọc hãy xem hình số 2)
Giai đoạn khởi đầu 1 (hào hứng, mơ mộng) - Cảm xúc của em “Cái này dễ ăn, mình sẽ giàu to”
Giai đoạn thực tế 2 (Thung lũng thất vọng) (khó khăn, không thấy kết quả) - Cảm xúc của em “Sao mãi vẫn không có tiền, chắc mình làm sai rồi”
Giai đoạn tích lũy 3 (tiến bộ ngầm, khó khăn lớn hơn) - Cứ làm tiếp đi, sắp hái quả rồi, phải tin tưởng.
Giai đoạn bùng nổ 4 (Bùng nổ) - Lãi kép compoud effect kích hoạt - Thành công qua đêm (sau 10 năm)

"Em đang ở giai đoạn 2," tôi phân tích. "Em nhìn thấy thằng bạn em ở giai đoạn 4 của lĩnh vực của nó, và em thấy mình chậm chân. Nhưng nếu em nhảy sang làm TikTok bây giờ, em sẽ lại quay về giai đoạn 1. Và khi gặp khó khăn, em lại nhảy tiếp. Cả đời em sẽ là một chuỗi những khởi đầu dang dở."
Hoàng gãi đầu. "Nhưng làm sao em biết cái em đang theo đuổi là đúng?"
"Bằng Tầm Nhìn (Vision)," tôi đáp.
“Em xây nền tảng working platform vì cả team em tin rằng trong 10 năm, 50 năm tới, tất cả các team trong mọi tổ chức vẫn cần một nền tảng để giao tiếp hiệu quả với nhau. Nền tảng có thể thay đổi, nhưng nhu cầu giao tiếp hiệu quả, rành mạch theo luồng công việc thì không bao giờ biến mất. Mà nó chỉ ngày càng tiến hóa lên thôi. Có đúng không"?”
Hoàng gật nhẹ. Tôi nhìn vào Hoàng, trong đầu tôi hình dung Hoàng đang trong bộ trang phục thuyền trưởng đang lèo lái một con thuyền giữa biển khơi.
Tôi nói như ngân nga, nhìn thẳng vào mắt Hoàng: “Nếu em với cương vị một người thuyền trưởng, cứ mãi đuổi theo những kho báu ảo ảnh.
Và em cũng không quyết định sẽ đưa thủy thủ đoàn của mình về bến cảng nào, thì liệu có cơn gió nào là thuận buồm xuôi gió?”
Hoàng im lặng, thời gian như đọng lại trong vài phút.
Rồi Hoàng liếm môi, giọng run rẩy nhưng quả quyết “Anh nói đúng, em lẽ ra phải là người vững vàng nhất, kiên định nhất để điều phối mọi người. Em bậy quá!”
Tôi mỉm cười thật lòng: “Bài học nhận ra sớm mà không phải trả giá gì, anh còn đang mừng cho em đó”
Phần 3: Ghi Chú Obsidian – La Bàn Cho Sự Nghiệp
Sau đó, tôi ngồi cùng Hoàng tiếp tục điều chỉnh kế hoạch phát triển thương hiệu, bổ sung thêm tính năng cốt lõi, và cùng nhau tạo một số chiến dịch tiếp cận khách hàng tiềm năng.
Kết thúc Zoom, tôi ngồi ghi chép lại, để lưu lại hành trình và các bài học của Hoàng.
Tôi mở Obsidian, tạo một note mới và bắt đầu đánh máy.
—
date: 2025-xx-xx
mentee: Hoàng - Founder Tech.
topic: Long-term Vision vs. FOMO
tags: long-game, vision, leader, consistency
—
Session Log: Chiến Thắng Bẫy FOMO
1. Triệu Chứng (Symptoms)
- Shiny Object Syndrome: Hoàng muốn bỏ dự án cốt lõi (Core Business) để chạy theo trend ngắn hạn (TikTok, Crypto).
- So sánh xã hội: Nhìn thấy thành công bề nổi của người khác và cảm thấy mình kém cỏi.
- Tư duy ngắn hạn: Muốn có kết quả ngay lập tức (Instant Gratification).
2. Mô Hình Tư Duy Cốt Lõi (Mental Models)
A. Lãi Kép (The Compound Effect)
- Thành công lớn không đến từ sự may mắn bất chợt, mà từ những nỗ lực nhỏ được tích lũy qua thời gian dài.
- Minh họa: Sơ đồ hòn tuyết lăn. Lúc đầu rất nhỏ, rất chậm, nhưng càng lăn càng lớn.
- -> Lời khuyên cho Hoàng: Phần mềm của em đang ở giai đoạn "tích lũy data". Đừng phá vỡ đà lăn của hòn tuyết.
B. Thung Lũng Thất Vọng (Valley of Disappointment)
- Khoảng cách giữa "Kỳ vọng" (đường thẳng) và "Thực tế" (đường cong).
- Đa số mọi người bỏ cuộc ở thung lũng này. Người chiến thắng là người đi xuyên qua nó.
C. Triết Học Khắc Kỷ (Stoicism)
"Look back over the past, with its changing empires that rose and fell, and you can foresee the future, too."
(Hãy nhìn lại quá khứ... bạn có thể thấy trước tương lai.)
-> Trend sinh ra và chết đi mỗi ngày. Chỉ có giá trị cốt lõi (Value) là tồn tại.
3. Bài Tập Thực Hành (Action Plan) gửi Hoàng
Chiến lược "The 10-Year Test" (Bài kiểm tra 10 năm)
Trước khi tôi định làm cái gì mới, hãy tự hỏi mình:
- Mình có sẵn sàng làm việc này trong 10 năm tới không?
- Nếu thị trường sập vào ngày mai, mình có còn tin vào giá trị sản phẩm này không?
- Nếu câu trả lời là KHÔNG -> Đó là FOMO. Bỏ đi.
- Nếu câu trả lời là CÓ -> Đó là Tầm Nhìn. Làm tiếp.
Chế độ "Ăn kiêng thông tin" (Information Diet)
- Unfollow các trang khoe tiền, khoe thành tích ảo trên Facebook/TikTok.
- Chỉ follow những người "Deep Thinker" (Những người tư duy sâu).
Suy ngẫm cá nhân (Reflection):
Nếu cu nhóc 9 tuổi của tôi có thể ngồi xếp Domino, thì kiên nhẫn chính là một kỹ năng có thể rèn luyện được.
Hoàng còn trẻ, cần vấp ngã để hiểu giá trị của sự chậm rãi.
Nhiệm vụ của tôi không phải là cấm cản, mà là giúp Hoàng nhìn thấy "bức tranh lớn" (Big Picture).
Tôi đóng máy tính lại. Thằng út vừa xếp xong hàng domino dài dằng dặc. Nó quay sang nhìn tôi, mắt sáng rực: "Ba ơi, nhìn con nè!"
Nó lấy ngón tay trỏ đẩy nhẹ quân Domino đầu tiên. Tiếng lách cách vang lên giòn giã, từng quân đổ rạp xuống theo một đường dây răm rắp.
"Chô, xịn ha!" tôi nói “Cuối cùng con cũng xếp được ha”
Trong đầu tôi hiện ra hình ảnh tôi đứng với con người tương lai (Future Self) của Hoàng:
Hoàng! em có nhìn thấy dãy Domino đó đổ không?
Đó chính là các mục tiêu liên tiếp mà cả em cùng team đã cùng phấn đấu vượt qua đấy!
Hoàng mỉm cười tự hào:
“Dạ anh, đó chính là thành công dài hạn mà anh đã dạy. Biết ơn anh!”